| Procurement | Procurement Title | Publishing Date | Closing Date | Status | Department | Procuring Agency | Download |
|---|---|---|---|---|---|---|---|
| Tender Notice 128 |
1. Maintenance Of Building
2. Fabric Clothing and Allied Material
3. Electrification and Plumbing |
08-03-2019 | 26-03-2019 | Close | PP&H | PP&H Bagh | Download File |
| Tender Notice 120 |
Procurement of Medicine |
07-03-2019 | 25-03-2019 | Close | Health Department | Health Muzaffarabad | Download File
Bid Evaluation |
| Tender Notice 121 |
Procurement of Printing Materials (7nos.) |
07-03-2019 | 25-03-2019 | Close | Tourism and Archaeology | Tourism and Archaeology Muzaffarabad | Download File
Canceled |
| Tender Notice 213 |
Tender for works |
07-03-2019 | 21-03-2019 | Close | C&W | Highways Division Kotli | Download File |
| Tender Notice 129 |
DESIGN, MANUFACTURING, SUPPLY, INSTALLATION, TESTING COMMISSIONING AND REFURBISHING/REMAINING WORKS OF 4.8 MW BATTAR POWER STATION |
06-03-2019 | 08-04-2019 | Close | AJK PDO | PDO Muzaffarabad | Download File |
| Tender Notice 130 |
Construction of Bailey cum suspension Bridge Over Poonch River at Jhawrha 320 Feet Span District Poonch (AJ&K) |
06-03-2019 | 21-03-2019 | Close | C&W | Highways Division Rawalakot | Download File
Corrigendum |
| Tender Notice 122 |
Purchase/Installation of Fire Resistant Almirah |
05-03-2019 | 25-03-2019 | Close | AJK BANK | BAJK | Download File
Bid Evaluation Award of Contract |
| Tender Notice 123 |
Purchase/Installation of Honda Petrol Generators |
05-03-2019 | 21-03-2019 | Close | AJK BANK | BAJK | Download File
Bid Evaluation Award of Contract |
| Tender Notice 131 |
Launching of Baily Bridge |
05-03-2019 | 21-03-2019 | Close | C&W | Highways Division Haveli | Download File |
| Tender Notice 132 |
Supply of Furniture/Fixture, Classrooms Aids and IT Equipment |
05-03-2019 | 26-03-2019 | Close | Agriculture | ESMA MUZARFFARABAD | Download File
Bid Evaluation |
| Tender Notice 133 |
Printing of Route Permits |
05-03-2019 | 21-03-2019 | Close | Transport Authority | Transport Authority Muzaffarabad | Download File
Bid Evaluation |
| Tender Notice 124 |
Repairing Of Vahicle MDGA-719 |
04-03-2019 | 19-03-2019 | Close | Environmental Protection Agency | Environmental Protection Agency | Download File
Canceled |
| Tender Notice 134 |
1.Construction of Protection Wall
2.Construction of Damaged wall
3.Construction of Toe wall |
04-03-2019 | 21-03-2019 | Close | C&W | Highways Division Muzaffarabad | Download File |
| Tender Notice 135 |
Supply of Furniture for Supreme Court and Additional Accommodation with High Court (Buildings Division) |
04-03-2019 | 19-03-2019 | Close | PP&H | PP&H Muzaffarabad | Download File
Bid Evaluation |
| Tender Notice 136 |
supply Installation; Testing & Commissioning of 11KV VCB switch Board & Breaker trolleys |
04-03-2019 | 25-03-2019 | Close | AJK PDO | PDO Muzaffarabad | Download File |
| Tender Notice 125 |
Tender For Goods |
01-03-2019 | 15-03-2019 | Close | Services and General Administration Department | AJ&K PPRA | Download File
Bid Evaluation Award of Contract |
| Tender Notice 137 |
Procurement of Furniture |
01-03-2019 | 19-03-2019 | Close | C&W | Highways Division Mirpur | Download File
Bid Evaluation |
| Tender Notice 188 |
Tender for Works (Rawalakot) |
28-02-2019 | 13-03-2019 | Close | Energy and Water Resource | Electricity Poonch | Download File
Corrigendum |
| Tender Notice 312 |
Tender For Works |
26-02-2019 | 08-04-2019 | Close | PP&H | PP&H Sudhanoti | Download File |
| Tender Notice 138 |
Tender For Works |
26-02-2019 | 03-04-2019 | Close | C&W | Highways Division Mirpur | Download File
Corrigendum Bid Evaluation |
| Tender Notice 145 |
Remaining work OPD block and main block |
26-02-2019 | 08-04-2019 | Close | PP&H | PP&H Sudhanoti | Download File |
| Tender Notice 146 |
Procurement of Works i.e Package 05 Irrigation |
25-02-2019 | 27-03-2019 | Close | Planning and Development Department AJK | DCRIP | Download File
Bid Evaluation |
| Tender Notice 147 |
Procurement of Wheel Chairs |
25-02-2019 | 08-03-2019 | Close | Social Welfare Department | Social Welfare Muzaffarabad | Download File
Bid Evaluation |
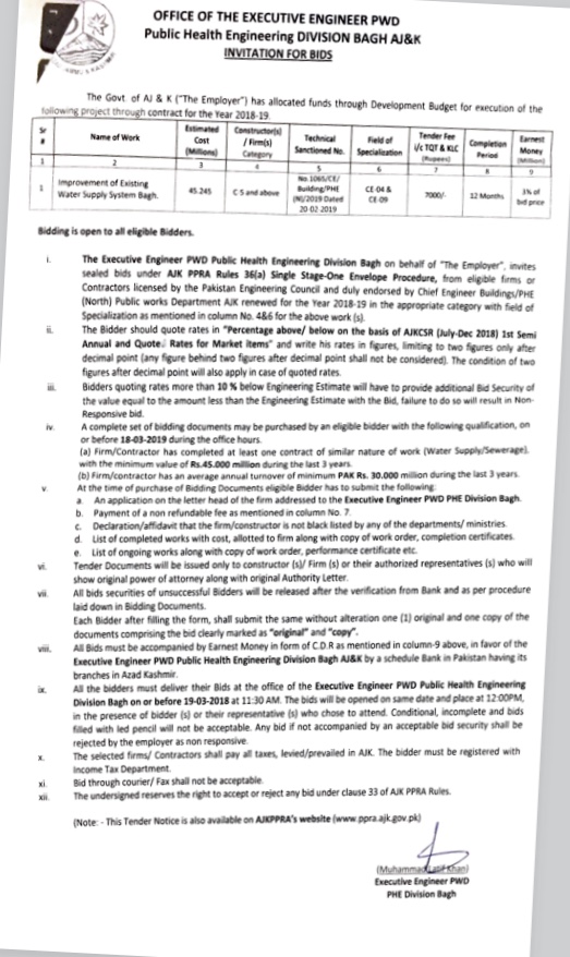
| Tender Notice 148 |
Improvement of existing water supply system |
25-02-2019 | 26-03-2019 | Close | PP&H | PP&H Bagh | Download File
Corrigendum |
| Tender Notice 178 |
Tender notice for works (Hajeera) |
25-02-2019 | 11-03-2019 | Close | Energy and Water Resource | Electricity Poonch | Download File
Bid Evaluation Award of Contract |
| Tender Notice 179 |
Procurement of Goods (Hajeera) |
25-02-2019 | 11-03-2019 | Close | Energy and Water Resource | Electricity Poonch | Download File
Bid Evaluation Award of Contract |
| Tender Notice 149 |
Crop Maximization Program to enhance Agriculture |
22-02-2019 | 11-03-2019 | Close | Agriculture | Agriculture Muzaffarabad | Download File |
| Tender Notice 150 |
Request for proposals (RFP) |
22-02-2019 | 15-03-2019 | Close | Energy and Water Resource | Electricity Muzaffarabad | Download File
Bid Evaluation |
| Tender Notice 152 |
Procurement and Installation of IT equipment |
22-02-2019 | 12-03-2019 | Close | Information Technology Board | Information Technology Board | Download File
Corrigendum Bid Evaluation |
| Tender Notice 153 |
purchase of IT/ Non IT equipment |
22-02-2019 | 12-03-2019 | Close | Information Technology Board | Information Technology Board | Download File
Corrigendum Bid Evaluation |
| Tender Notice 154 |
Procurement of Tyres |
22-02-2019 | 12-03-2019 | Close | C&W | Project Management Unit (PMU) | Download File
Corrigendum Bid Evaluation |
| Tender Notice 182 |
Supply installation and Commissioning of equipment |
21-02-2019 | 11-03-2019 | Close | Environmental Protection Agency | Environmental Protection Agency | Download File
Bid Evaluation |
| Tender Notice 151 |
Repairing of Vehicle MD.GO-656 |
20-02-2019 | 01-02-2019 | Close | Zakat and Usher | Zakat and Usher | Download File |
| Tender Notice 155 |
Procurement of Lab Equipment |
20-02-2019 | 28-02-2019 | Close | Education Department | AJK University | Download File |
| Tender Notice 167 |
Renovation of Brarkot Branch |
19-02-2019 | 07-03-2019 | Close | AJK BANK | BAJK | Download File
Bid Evaluation |
| Tender Notice 169 |
Procurement of Tool kits |
19-02-2019 | 07-03-2019 | Close | Women Development | Women Development Muzaffarabad | Download File
Corrigendum Bid Evaluation |
| Tender Notice 198 |
Procurement of Furniture |
19-02-2019 | 07-03-2019 | Close | Education Department | Women University Bagh | Download File
Bid Evaluation |
| Tender Notice 463 |
Tender For Goods |
18-02-2019 | 04-03-2019 | Close | Forest | Forest Muzaffarabad | Download File
Bid Evaluation |
| Tender Notice 336 |
Tender for Goods |
16-02-2019 | 11-03-2019 | Close | Education Department | Elementary and Secondary Education | Download File
Corrigendum Bid Evaluation |
| Tender Notice 313 |
Tender for Works |
13-02-2019 | 28-02-2019 | Close | C&W | Highways Division Neelum | Download File |
| Tender Notice 228 |
Tender for Services |
13-02-2019 | 12-03-2019 | Close | AJK PDO | PDO Muzaffarabad | Download File |
| Tender Notice 164 |
Repairing of Vehicle MD-360 |
12-02-2019 | 04-03-2019 | Close | Environmental Protection Agency | Environmental Protection Agency | Download File
Corrigendum Canceled |
| Tender Notice 315 |
Procurement of Goods (MNCH) |
11-02-2019 | 25-02-2019 | Close | Health Department | Health Muzaffarabad | Download File
Bid Evaluation |
| Tender Notice 314 |
Tender for Services (MNCH) |
11-02-2019 | 25-02-2019 | Close | Health Department | Health Muzaffarabad | Download File |
| Tender Notice 316 |
Tender for Works |
11-02-2019 | 26-02-2019 | Close | C&W | Highways Division Muzaffarabad | Download File |
| Tender Notice 317 |
Tender for Works |
11-02-2019 | 26-02-2019 | Close | C&W | Highways Division Muzaffarabad | Download File |
| Tender Notice 318 |
Tender for Works |
11-02-2019 | 28-02-2019 | Close | C&W | Highways Division Muzaffarabad | Download File |
| Tender Notice 156 |
Construction of Wall and bridge |
11-02-2019 | 27-02-2019 | Close | C&W | Highways Division Mirpur | Download File |
| Tender Notice 157 |
Tender for Works (Buildings) |
11-02-2019 | 05-03-2019 | Close | PP&H | PP&H Mirpur | Download File |
| Tender Notice 229 |
Tender for works |
11-02-2019 | 01-03-2019 | Close | C&W | Highways Division Mirpur | Download File
Bid Evaluation |